d027. P_3_1 樹的高度與根 (bottom-up) (APCS201710)
Tags : ch3
Accepted rate : 6人/6人 ( 100% ) [非即時]
評分方式:
Tolerant

最近更新 : 2021-12-30 23:50

Content

 有一個大家族有 $N$ 個成員,編號 $1 \sim N$,我們請每個成員寫下此家族中哪幾位是他的孩子。我們要計算每個人有幾代的子孫,這個值稱為他在這個族譜中的高度,也就是說,編號 $i$ 的人如果高度記做 $h(i)$,那麼 $h(i)$ 就表示在所有 $i$ 的子孫中,最遠的子孫與他隔了幾代。
本題假設除了最高的一位祖先(稱為 root)之外,其他成員的 parent 都在此家族中(且只有一個 parent)。本題要計算所有成員高度的總和以及根的編號。

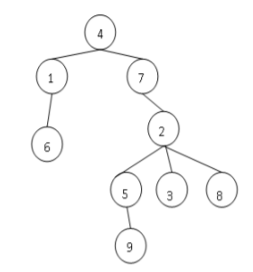
下圖是一個例子,每個成員是一個圈起來的號碼,劃線相聯的表示上面的點是下面點的 parent。編號 $4$ 是根,有兩個孩子 $1$ 與 $7$。編號 $6, 9, 3, 8$ 都沒有孩子, $h(6)=h(9)=h(3)=h(8)=0$,此外 $h(2)=2$ 因為 $9$ 與他隔兩代。你可以看出來 $h(5)=h(1)=1$,$h(7)=3$, $h(4)=4$, 所以高度總和是 $11$。

 

Input

第一行有一個正整數 $N$。$N ≤ 10^5$。

接下來有 $N$ 行,第 $i$ 行的第一個數字 $k$ 代表 $i$ 有 $k$ 個孩子,第 $i$ 行接下來的 $k$ 個數字就是孩子的編號。同一行的相鄰數字間以空白隔開。

Output

 第一行輸出根的編號,第二行輸出高度總和。

Sample Input #1
9
1 6
3 5 3 8
0
2 1 7
1 9
0
1 2
0
0
Sample Output #1
4
11
測資資訊:
記憶體限制: 256 MB
公開 測資點#0 (16%): 1.0s , <1M
公開 測資點#1 (16%): 1.0s , <1M
公開 測資點#2 (17%): 1.0s , <1M
公開 測資點#3 (17%): 1.0s , <1M
公開 測資點#4 (17%): 1.0s , <1M
公開 測資點#5 (17%): 1.0s , <1M
Hint :
Tags:
ch3
出處:
Prof. Wu [管理者: ktlai (K.我已霸榜.Tlai) ]


ID User Problem Subject Hit Post Date
沒有發現任何「解題報告」